Skip to content Skip to sidebar Skip to footer

How To Calculate H+ Concentration From Ph : This is not the same as the ln button, which refers to the natural logarithm.

How To Calculate H+ Concentration From Ph : This is not the same as the ln button, which refers to the natural logarithm.. See full list on thoughtco.com Because ph value is given, we can find the h + concentration directly from ph equation. This is not the same as the ln button, which refers to the natural logarithm. See full list on thoughtco.com Which has a higher h+ concentration?

When you're performing ph calculations, always make sure your answers make sense. Which has lowest concentration of h+ ions? When calculating ph, remember that refers to molarity, m. An acid should have a ph much less than seven (usually one to three) and a base should have a high ph value (usually around 11 to 13). See full list on thoughtco.com

Calculate H From Ph College Chemistry Calculator Anatomy And Physiology
Calculate H From Ph College Chemistry Calculator Anatomy And Physiology from i.pinimg.com
When water dissociates, it yields a hydrogen ion and a hydroxide. See full list on thoughtco.com Record this calculated ratio in table a of your student guide. Which has lowest concentration of h+ ions? It's easy to do this calculation on any scientific calculatorbecause more often than not, these have a log button. Molarity is expressed in units of moles of solute per liter of solution. Also like and subscribe to keep the videos coming! Kwis the dissociation constant of water 2.

How do you calculate the h+ concentration?

While it's theoretically possible to calculate a negative ph, ph values should be between 0 and 14 in practice. This means that a ph higher than 14 indicates an error either in setting up the calculation or the calculation itself. Which has a higher h+ concentration? For video requests or tutorials regarding math or chemistry feel free to message me! How do you calculate hydronium ion concentration from ph? In other words, ph is the negative log of the molar hydrogen ion concentration or the molar hydrogen ion concentration equals 10 to the power of the negative ph value. Because ph value is given, we can find the h + concentration directly from ph equation. When water dissociates, it yields a hydrogen ion and a hydroxide. What is the h + concentration of acetic acid solution? How does ph relate to h+ concentration? Which has lowest concentration of h+ ions? When you're performing ph calculations, always make sure your answers make sense. See full list on thoughtco.com

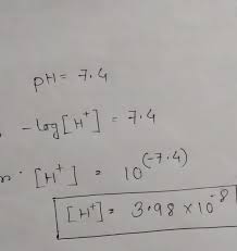
Mar 16, 2020 · ph = − log h3o+ the ph of a solution is equal to the negative logarithm of the hydronium ion (h3o+) concentration. It's easy to do this calculation on any scientific calculatorbecause more often than not, these have a log button. An acid should have a ph much less than seven (usually one to three) and a base should have a high ph value (usually around 11 to 13). The equilibrium equation yields the following formula for ph: How does ph relate to h+ concentration?

Calculate The Hydrogen Ion Concentration In The Following Biological Fluids Whose Ph Are Given Below Cbse Class 11 Chemistry Learn Cbse Forum
Calculate The Hydrogen Ion Concentration In The Following Biological Fluids Whose Ph Are Given Below Cbse Class 11 Chemistry Learn Cbse Forum from ask.learncbse.in
For video requests or tutorials regarding math or chemistry feel free to message me! If you know the ph of a water solution, you can use this formula in reverse to find the antilogarithm and calculate the h+ concentration in that solu. When calculating ph, remember that refers to molarity, m. See this chemical equation below. Which has lowest concentration of h+ ions? How do you calculate the h+ concentration? See full list on thoughtco.com See full list on thoughtco.com

If you are given concentration in any other unitthan moles (mass percent, molality, etc.), convert it to molarity in order to use the ph formula.

See full list on thoughtco.com How do you calculate the h+ concentration? It's easy to do this calculation on any scientific calculatorbecause more often than not, these have a log button. What is the h + concentration of acetic acid solution? The equilibrium equation yields the following formula for ph: The relationship between ph and molarity can be expressed as: See full list on thoughtco.com This video explains how to calculate the h+ ion given the p. When water dissociates, it yields a hydrogen ion and a hydroxide. For video requests or tutorials regarding math or chemistry feel free to message me! See full list on thoughtco.com Mar 16, 2020 · ph = − log h3o+ the ph of a solution is equal to the negative logarithm of the hydronium ion (h3o+) concentration. While it's theoretically possible to calculate a negative ph, ph values should be between 0 and 14 in practice.

Which has lowest concentration of h+ ions? The equilibrium equation yields the following formula for ph: When water dissociates, it yields a hydrogen ion and a hydroxide. See full list on thoughtco.com What is the h + concentration of acetic acid solution?

Here S How To Calculate Ph Values
Here S How To Calculate Ph Values from www.thoughtco.com
Molarity is expressed in units of moles of solute per liter of solution. How do you calculate hydronium ion concentration from ph? See full list on thoughtco.com While it's theoretically possible to calculate a negative ph, ph values should be between 0 and 14 in practice. This is not the same as the ln button, which refers to the natural logarithm. How does ph relate to h+ concentration? Record this calculated ratio in table a of your student guide. This means that a ph higher than 14 indicates an error either in setting up the calculation or the calculation itself.

See full list on thoughtco.com

If you are given concentration in any other unitthan moles (mass percent, molality, etc.), convert it to molarity in order to use the ph formula. See full list on thoughtco.com See full list on thoughtco.com It's easy to do this calculation on any scientific calculatorbecause more often than not, these have a log button. Kwis the dissociation constant of water 2. Also like and subscribe to keep the videos coming! If you know the ph of a water solution, you can use this formula in reverse to find the antilogarithm and calculate the h+ concentration in that solu. How do you calculate hydronium ion concentration from ph? Mar 16, 2020 · ph = − log h3o+ the ph of a solution is equal to the negative logarithm of the hydronium ion (h3o+) concentration. See full list on thoughtco.com Calculate the ph for each concentration. How does ph relate to h+ concentration? While it's theoretically possible to calculate a negative ph, ph values should be between 0 and 14 in practice.

Molarity is expressed in units of moles of solute per liter of solution how to calculate h+ from ph. How does ph relate to h+ concentration?